今年会官网

今年会官网

农药原药

种别产品名称结构式  理化性子
除草剂草甘膦

1.png

  分子式: C3H8NO5P
  分子量: 169.07
  CAS号: 1071-83-6
  熔点:230 ℃
  外观: 白色结晶固体
  气息: 无味
除草剂2,4-D 

2.png

  分子式: C8H6Cl2O3
  分子量: 221.04
  CAS号: 94-75-7
  熔点:138 ℃
  外观:白色或黄色结晶粉末
  气息: 无味
除草剂野麦畏

3.png

  分子式: C10H16Cl3NOS
  分子量: 304.67
  CAS号: 2303-17-5
  熔点:29-30℃
  外观: 棕色至黑棕色液体
  气息: /
除草剂茵达灭

4.png

  分子式: C9H19NOS
  分子量:  189.32
  CAS号: 759-94-4
  沸点: 127℃(20 mm Hg)
  外观: 琥珀色液体
  气息: 芳香味
除草剂氯苯胺灵

5.png

  分子式: C10H12ClNO2
  分子量: 213.66
  CAS号: 101-21-3
  熔点: 40.7-41.1℃
  外观: 浅棕色粉末
  气息:微弱的气息
除草剂磺草灵

6.png

  分子式:C8H10N2O4S
  分子量: 230.24
  CAS号: 3337-71-1
  熔点:135-138 ℃
  外观:浅黄色粉末
  气息: 无气息
除草剂禾草丹

7.png

  分子式: C12H16ClNOS
  分子量:257.78
  CAS号: 28249-77-6
  熔点: 3.3 ℃
  外观: 浅黄色液体
  气息: Slight aromatic odor
除草剂苄草丹

8.png

  分子式: C14H21NOS
  分子量: 251.39
  CAS号: 52888-80-9
  沸点:129℃(33Pa)
  外观: 浅黄色液体
  气息: 稍微芳香气息
除草剂嗪草酮

9.png

  分子式: C8H14N4OS
  分子量: 214.29
  CAS号: 21087-64-9
  熔点: 126.2℃
  外观:白色晶体
  气息: 稍微气息
除草剂氟咯草酮

10.png

  分子式: C12H10Cl2F3NO
  分子量: 312.12
  CAS号: 61213-25-0
  熔点:42~73℃
  外观: 棕色固体
  气息: /
除草剂氰氟草酯

11.png

  分子式: C20H20FNO4
  分子量: 357.38
  CAS号: 122008-85-9
  熔点:45.5-49.5℃
  外观:白色晶体
  气息:微弱杏仁味
除草剂双草醚

12.png

  分子式: C19H17N4NaO8
  分子量: 452.35
  CAS号: 125401-92-5
  熔点: 223-224 ℃
  外观: 白色粉状固体
  气息: 无味
杀菌剂百菌清

13.png

  分子式: C8Cl4N2
  分子量: 265.9
  CAS号: 1897-45-6
  熔点: 252.1  ℃
  外观: 白色结晶固体
  气息: 无味
杀菌剂嘧菌酯

14.png

  分子式: C22H17N3O5
  分子量: 403.4
  CAS号: 131860-33-8
  熔点: 116 ℃
  外观: 白色结晶固体
  气息: 无味
杀菌剂肟菌酯

15.png

  分子式: C20H19F3N2O4
  分子量: 408.4
  CAS号:175013-18-0
  熔点: 72.9 ℃
  外观: 白色或灰白色固体
  气息: 无味
杀菌剂吡唑醚菌酯

16.png

  分子式: C19H18ClN3O4
  分子量:387.8
  CAS号:175013-18-0
  熔点: 63.7~65.2 ℃
  外观: 白色或浅米色结晶固体
  气息: 无味
杀虫剂噻虫胺

17.png

  化学式:C6H8ClN5O2S
  分子量:249.7
  CAS NO:210880-92-5
  熔点:176.8℃
  外观:白色结晶
  气息:无特殊气息

杀虫剂呋虫胺

18.png

  化学式:C7H14N4O3
  分子量:202.2
  CAS NO:165252-70-0
  熔点:101-102℃
  外观:白色或淡黄色粉末
  气息:
杀虫剂乙螨唑

19.png

  化学式:C21H23F2NO2
  分子量:359.4
  CAS NO:153233-91-1 
  熔点:101.5-102.5℃
  外观:白色晶体粉末
  气息:
杀虫剂氟虫腈

20.png

  化学式:C12H4Cl2F6N4OS
  分子量:437.2
  CAS NO:120068-37-3  
  熔点:200-201℃
  外观:白色粉末
  气息:
杀虫剂噻虫嗪

21.png

  化学式:C8H10ClN5O3S
  分子量:291.7
  CAS NO:153719-23-4 
  熔点:139.1℃ 
  外观:白色结晶粉末
  气息:
杀菌剂丙硫菌唑

22.png

  化学式:C14H15Cl2N3OS
  分子量:344.3
  CAS NO:178928-70-6 
  熔点: 139-144℃ 
  外观:白色结晶性粉末
  气息:
杀菌剂啶酰菌胺

23.png

  化学式:C18H12Cl2N2O
  分子量:343.2
  CAS NO:188425-85-6
  熔点: 143.4-143.6 ℃
  外观:白色粉末
  气息:无特殊气息
杀菌剂环丙唑醇

24.png

  化学式:C15H18ClN3O
  分子量:291.78
  CAS NO:94361-06-5
  熔点: 104-106℃
  外观:黄色或棕色固体
  气息:
杀菌剂啶氧菌酯

25.png

  化学式:C18H16F3NO4
  分子量:367.32
  CAS NO:.117428-22-5
  熔点:68-69 ℃
  外观:白色粉末
  气息:
除草剂2甲4氯

26.png

  化学式:   

  CH3(Cl)C6H3OCH2COOH

  分子量:200.45
  CAS NO:94-74-65
  熔点:120 ℃
  外观:无色结晶
  气息:
除草剂毒莠定

27.png

  化学式:C6H3Cl3N2O2
  分子量:241.46
  CAS NO:1918-02-1
  熔点:215℃
  外观:无色粉末
  气息:
除草剂丙炔氟草胺

28.png

  化学式:C19H15FN2O4
  分子量:354.33
  CAS NO:103361-09-7
  熔点:201-204℃
  外观:黄棕色粉状固体 
  气息:
除草剂胺唑草酮

29.png

  化学式:C10H19N5O2
  分子量:241.29
  CAS NO:129909-90-6 
  熔点:137.5℃
  外观:白色粉末 
  气息:
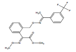
除草剂异恶唑草酮

30.png

  化学式:C15H12F3NO4S
  分子量:359.32
  CAS NO:141112-29-0  
  熔点:140℃
  外观:白色至灰黄色固体 
  气息:



?
网站地图